Revista Venezolana de Gerencia (RVG)
Año 27 No. 99, 2022, 867-883
ISSN 1315-9984 / e-ISSN 2477-9423
COMO CITAR: Illa Sihuincha, G. P., Ruiz Villavicencio, R. E., Castillo Santa María, B., y Valentín Puma, M. T. (2022). Convergencia tecnológica y su impacto en el sistema financiero digital global. Revista Venezolana de Gerencia, 27(99), 867-883. https://doi.org/10.52080/rvgluz.27.99.2
Convergencia tecnológica y su impacto en el sistema financiero digital global
Illa Sihuincha, Godofredo Pastor*
Ruiz Villavicencio, Ricardo Edmundo**
Castillo Santa María, Bessy***
Valentín Puma, Manuel Tiberio****
Resumen
El fenómeno de convergencia tecnológica ha sido objeto de análisis en un número creciente de estudios y se puede presenciar en una variedad de entornos de alta tecnología diferentes, siendo uno de ellos el sistema financiero. El propósito de esta investigación es realizar una revisión de literatura para identificar los hallazgos en todo el mundo sobre la convergencia tecnológica, específicamente en el ámbito relacionado al sistema financiero. El estudio se centra en el período 2017 hasta el 2021. Se realizó una búsqueda especializada de artículos sobre convergencia tecnológica y sistema financiero publicados en las principales revistas dentro de la base de datos de Science Direct. Se seleccionaron 47 artículos publicados en los journals Q1, Q2 y Q3 según Scimago. El estudio resume cómo la literatura ha definido el significado de la convergencia tecnológica, los impulsores, el sistema financiero digital y la tecnología financiera. El artículo concluye que la convergencia tecnológica impulsa las finanzas digitales, consolidando su desarrollo.
Palabras clave: Convergencia tecnológica; sistema financiero digital; finanzas digitales
Recibido: 07.01.22 Aceptado: 31.01.22
* Dr. en Educación por la Universidad Nacional de Educación Enrique Guzmán y Valle, Lima, Perú; gillas@ucvvirtual.edu.pe; gilla@une.edu.pe ; ORCID: https://orcid.org/0000-0002-2532-3194
** PhD en Ética, Responsabilidad Social y Derechos Humanos; Universidad Abat Oliva CEU, España; Doctor en Administración, MBA; Universidad Inca Garcilaso de la Vega, Perú; Email: reruizvi@ucvvirtual.edu.pe ; ORCID: https://orcid.org/0000-0002-1353-1463
*** Dra. Gestión Pública y Gobernabilidad por la Universidad César Vallejo, Perú; mcastillos@ucv.edu.pe; ORCID: https://orcid.org/0000-0001-5320-4005
**** Dr. Gestión Pública y Gobernabilidad, por la Universidad César Vallejo, Perú; mvalentin@unibagua.edu.pe ; ORCID: http://orcid.org/0000-0002-3813-531X
Technological convergence and its impact on the global digital financial system
Abstract
The phenomenon, known as technological convergence, has been the subject of analysis in a growing number of studies and can be witnessed in a variety of different high-tech environments being one of them the financial system. The purpose of this research is to conduct a literature review to identify findings worldwide on technological convergence (TC), specifically in the field related to the financial system, the study focuses on the period 2017 to 2021. A specialized search was conducted for articles on TC and financial system published in leading journals within the Science Direct database. Forty-seven articles published in Q1, Q2 and Q3 journals according to Scimago were selected. This study summarizes how the literature has defined the concept and meaning of technological convergence, convergence drivers, digital financial system concepts and financial technology (Fintech). The article concludes that technological convergence is driving digital finance, consolidating its development.
Keywords: Technological convergence; digital financial system; digital finance
1. Introducción
La convergencia tecnológica se ha considerado uno de los motores de la innovación en los últimos decenios. Los investigadores académicos y de la industria han realizado cada vez más investigaciones interdisciplinarias, impulsando a empresas a desarrollar nuevos productos y servicios, combinando o fusionando tecnologías en nuevas aplicaciones (Kose & Sakata, 2019). La convergencia tecnológica es tratada desde diversas perspectivas de innovación y conocimiento contemporáneo, orientando al éxito, desarrollo de sinergias y creando nuevas tecnologías, generando reestructuración en organizaciones (Santoro et al, 2018). La digitalización ha cambiado la realidad, hoy las tecnologías convergentes tienen impacto inmediato, produciendo cambios en industrias antes separadas, que luego se fusionan e interactúen entre sí (Lee, Park & Kang, 2018).
En un entorno empresarial de cambio constante, rutinariamente se está analizando necesidades por reducir el tiempo de trabajo, dinero y esfuerzo; esta tendencia requiere desarrollar medios que mejoren sus capacidades (León, Murillo & Pincay, 2019). Empresas progresistas mantienen y amplían sus ventajas tecnológicas mediante actividades de innovación continua (Song, Elvers & Leker, 2017). Las tecnologías emergentes son oportunidades para los seguidores tradicionales de tecnología, de alcanzarlas podrían tener la oportunidad de dar un salto efectivo (Kong et al, 2017).
La bibliografía existente sobre la convergencia, se centra en el proceso a nivel industrial o empresa, explicando patrones y características en etapa (Zhou et al, 2019); a través de estas actividades, se logra cooperación mutua generando la difuminación de los límites tecnológicos (Thomas, 2019).
El desarrollo de tecnología de la información ha permitido a las instituciones financieras revolucionar sus patrones de prestación de servicios (Shankar & Jebarajakirthym, 2019); desde esta perspectiva, la investigación enfocó la revisión de literatura sobre convergencia tecnológica de servicios y su impacto en el sistema financiero digital, considerando que la tecnología comercializada en la industria, influyen significativamente, o incluso moldean, la naturaleza de la evolución de un producto y proceso en otras industrias (Wang et al, 2019).
Es por ello que el sistema financiero digital aplica tecnología para mejorar su actividad en beneficio del cliente mediante servicios financieros a través del modelo Fintech (Hernández-Nieves et al., 2020). A partir de las premisas señaladas, el término Fintech que surgió en la literatura científica en 1972, a través de modelos de análisis y resolución de problemas cotidianos, hoy se han ajustado a las experiencias bancarias con técnicas modernas de gestión y ordenador (préstamos, pagos, transferencias de valores monetarios y diversas operaciones bancarias) (Milian, Spinola & de Carvalho, 2019); análisis que se desarrollará linealmente en el estudio propuesto.
2. Convergencia tecnológica
El génesis fue conceptualizado por Rosenberg en el año 1963, quien acuñó por primera vez el término convergencia tecnológica, como proceso por el cual dos sectores industriales, hasta ahora diferentes, llegan a compartir un conocimiento y una base tecnológica común (Hwang, 2020); en otras palabras, industrias caracterizadas por una clara distancia y naturaleza diferente de su producto final, se relacionan tecnológicamente (Park, 2018).
Dicho proceso originó el término fusión de tecnologías para representar un tipo de innovación revolucionaria, creada a partir dos tecnologías existentes, en una nueva tecnología hibrida (Kim, Kim & Lee, 2019). A partir de lo señalado, se conceptúa la convergencia como la unión de procesos o productos anteriormente distintos, generando innovación a través de tecnologías digitales (Kong, Yang & Li, 2020).
Desde una visión organizacional, se considera que la convergencia es un proceso de interacción de las empresas con su entorno externo, conduciendo al vínculo estructural entre mercados anteriormente separados (Song, Elvers & Leker, 2017). El término convergencia tecnológica se refiere al proceso en que diferentes sectores llegan a compartir conocimiento y una base tecnológica común (Sick et al, 2019), redefiniendo las fronteras de la industria rápidamente gracias a la creciente fusión y superposición de tecnologías (Uzunca, 2018); logrando nuevas oportunidades electrónicas y de fácil complemento para las personas y empresas (San Kim & Sohn, 2020).
La convergencia tecnológica permite integrar dos o más elementos, reduciendo propiedades de cada elemento, produciendo productos con nuevas características, combinando físicamente componentes individuales, pero conservando las propiedades de cada uno (Frank et al, 2019). Se debe considerar la concepción de la convergencia, caracterizado como la superposición de dos industrias que empiezan a producir productos similares (Sick et al, 2019); difuminándose las fronteras entre al menos dos áreas hasta ahora inconexas de la ciencia, tecnología, mercados o industrias (Krämer & Wohlfarth, 2018)
Ello puede satisfacer necesidades específicas desde la perspectiva de la demanda, o como tecnologías que se unen para crear nuevas funciones o mejorar la eficiencia de un producto existente; considerándola como fuente importante de innovación (Park & Yoon, 2018). Además, es tratada como un descriptor del cambio tecnológico (Kim et al., 2017), a menudo utilizada como un dispositivo retórico para justificar las transacciones estratégicas de fusiones y adquisiciones (Aaldering, Leker & Song, 2019). Asimismo, los procesos de convergencia normalmente se basan en las actividades de distintos sectores tecnológicos y mercado, que muestran colaboraciones intersectoriales (Lim, Kwon & Lee, 2018).
2.1. Etapas y metodología de la convergencia tecnológica
El rápido desarrollo de la tecnología de información ha impulsado cambios profundos a lo largo de diversas cadenas de valor (Park & Yoon, 2018). Si el ritmo de la convergencia tecnológica aumenta y se produce la convergencia del mercado, las empresas afectadas se enfrentan a una estructura completamente nueva y requieren nuevas competencias ascendentes y descendentes para funcionar con éxito (Teece, 2018); para salvar esta brecha de competencias, las empresas se someten a alianzas estratégicas o fusiones y adquisiciones (Cefis, Marsili & Rigamonti, 2020).
Del mismo modo, el reconocimiento oportuno de campos tecnológicos convergentes, permite a las empresas innovadoras ejercer influencia positiva en la cambiante cadena de valor y vincular eficazmente sus capacidades internas y externas (Song, Elvers & Leker, 2017). Por otro lado, se ha propuesto la convergencia de oferta y demanda sobre la base de orientaciones de mercado (Sick et al, 2019); mejorando los beneficios del cliente con sentido social (Martin-Fiorino & Reyes, 2020).
Los avances tecnológicos permiten a empresas abastecer el mercado con productos nuevos o mejorados, provocando cambios en sus estructuras y el comportamiento de clientes (Kim & Lee, 2017). Esto pone en relieve el papel de la convergencia impulsada por la demanda, considerando que la convergencia de mercado puede ser desencadenada por cambios en la demanda de clientes (Song, Elvers & Leker, 2017).
Se propusieron cuatro etapas, instituidas en la convergencia tecnológica, de conocimientos, de aplicaciones e industrial, desde la perspectiva coevolutiva y secuencial (Park & Yoon, 2018). Otra clasificación de la convergencia en cuatro categorías, las señala como científica, tecnológica, de mercado y de industria (Morikawa, 2019); por lo tanto, se considera como etapas evolutivas del fenómeno de la convergencia (Lee, Park & Kang, 2018; Kose & Sakata, 2019).
La convergencia de conocimiento científico es el primer paso hacia la tecnología, con potencial de atraer nuevas industrias. Cuando se alcanza el nivel de competencia requerido de tecnología, los esfuerzos de investigación y desarrollo empieza a disminuir (Woo & Choi, 2018). La convergencia del mercado, para el éxito de cualquier organización, se basa en gran medida en su capacidad de predecir la dirección futura de la convergencia. Esta capacidad puede enriquecer la comprensión de la cadena de valor y ayudar a explorar nuevas fronteras (Zhang, McBurney & Musial, 2018). La madurez de infraestructura, la aparición de nuevas tecnológicas y mejorar el estilo de vida, han inducido nuevas oportunidades de convergencia del mercado e industria (Aaldering et al, 2019).
En una clasificación más específica, se seleccionaron 24 estudios relacionados a la convergencia, centrados en ciencia, tecnología e industria; clasificándolos de acuerdo a cinco metodologías principales; el análisis de co-palabras, co-citación, co-autoría, co-clasificación y el análisis de insumo-producto (Kim & Choi, 2018). También se investigó el patrón de convergencia de la tecnología mediante una regla de asociación en términos de co-ocurrencia de la Clasificación Internacional de Patentes (CIP). Organizaron una red que representaba los patrones de co-apariciones de las CPI y predijeron nuevas fusiones mediante la regla de asociación basada en similitud entre nodos, considerando que se podían obtener nuevas posibles convergencias de co-ocurrencia existentes (Lee, Park & Kang, 2018).
Además, utilizaron la co-clasificación para analizar la convergencia tecnológica de industrias de información y biotecnología (Lee, Hong & Kim, 2021), permitiendo controlar, monitorizar y gestionar redes desde nodos centralizados o controlados, simplificando la gestión de red e incluir innovación a través de su programación (Torres & Zúñiga, 2019).
Los impulsores de la convergencia pueden clasificarse en cuatro grupos principales: a) desarrollo tecnológico, b) medidas regulatorias, c) preferencias de los clientes y d) cambio social (Kim & Lee, 2020). Independientemente de que la necesidad surja de los impulsos de los consumidores (impulsados por el mercado) o de los proveedores (impulsados por la tecnología), los avances de la convergencia han influido en la empresa comercial y en la sociedad en diversa medida (Song, Elvers & Leker, 2017). Desde otra perspectiva, también se puede afirmar que el proceso de convergencia está impulsado por desarrollos ya sea en el tecnológico o al nivel del mercado. El estudio distingue entre la convergencia del lado de los insumos impulsada por la tecnología y convergencia del lado de la producción impulsada por el mercado (Sick et al., 2019).
2.2. Finanzas digitales
Son servicios financieros prestados a través de computadoras personales, teléfonos móviles, Internet o tarjetas conexas a sistemas de pago digital confiable (Ozili, 2020); abarcando nuevos productos y negocios financieros, software relacionado con las finanzas y formas novedosas de comunicación e interacción con el cliente, entregadas por empresas de tecnología financiera (Fintech) y proveedores innovadores de servicios financieros (Gomber, Koch, & Siering, 2017).
En ese sentido, las finanzas digitales abarcan productos, servicios, tecnología y/o infraestructura que permiten a las empresas y personas tener acceso a pagos, ahorros y facilidades crediticias a través de Internet (en línea), sin necesidad de visitar una sucursal bancaria o proveedor de servicios financieros (Ozili, 2020).
Las finanzas digitales pueden afectar el consumo de los hogares desde varios aspectos (Li, Wu & Xiao, 2020); el crédito en línea permite hacer coincidir el lado de demanda financiera con la oferta, en partes geográficamente dispares (Pierrakis, 2019; Yu et al, 2020); amplía los canales para las personas con fondos pequeños, aumentan la tasa de rendimiento y crea riqueza de los hogares (Li et al, 2020); reducen costos y tiempo de transacción de los servicios financieros (Jocevski, Ghezzi & Arvidsson, 2020); reducen costos operativos, mejora la seguridad social y reduce pérdidas por incertidumbre (Yan, Schulte & Chuen, 2018).
La Fintech es una tecnología que contribuye en la productividad, banca y el bienestar del consumidor (Jagtiani & Lemieux, 2018); evolución que demostró ser riesgosa, pero valiosa (Thakor, 2020), con evidencia reciente que brinda un valor sustancial a los inversores (Chen, Wu & Yang, 2019). Asimismo, es parte de la columna vertebral tecnológica de fintech, la tecnología Blockchain (Jakšič & Marinč, 2019).
3. Metodología
La presente investigación es desarrollada mediante el análisis bibliométrico de revistas relacionadas a la convergencia tecnológica. Para ello, se constituyeron los siguientes pasos: a) definir los criterios de selección y clasificación de artículos, b) presentación de estadística descriptiva de publicaciones en convergencia tecnológica y sistema financiero digital y, c) el análisis de los artículos seleccionados.
Por su parte, la revisión de literatura fue desde el año 2017 hasta el 2021, en base de datos electrónicas y búsqueda manual mediante el uso de los términos de búsqueda o palabras clave: “Technological(es) convergence(s)” or “technology(ies) convergence(s)” and “digital financial system(s)” or “digital financial”; obteniendo 177 documentos, de ellos 135 eran artículos de investigación y 42 otro tipo de documentos. El Cuadro 1 muestra los resultados de los tipos de documento que resultaron de la búsqueda.
Cuadro 1
Tipo de documento como resultado de la búsqueda
(% de del total)
|
Tipo de articulo |
Porcentaje |
|
Artículos de revisión |
7% |
|
Artículos de investigación |
76% |
|
Enciclopedia |
2% |
|
Capítulo de libros |
8% |
|
Correspondencia |
0.5% |
|
Editoriales |
0.5% |
|
Comunicaciones cortas |
2% |
|
Otros |
5% |
|
Total |
100% |
Fuente: Elaboración de los autores.
De 135 artículos seleccionados se realizó el análisis del factor de impacto en Scimago y como se observa en el cuadro; se clasificaron por años y factor de impacto, se consideraron investigaciones publicadas en revista de cuartiles Q1, Q2 y Q3, (Scientific Journal Rankings - SJR). Posteriormente, se procedió a revisar los abstract y conclusiones de los 135 artículos de investigación, el cual se llegó a la selección de 45 artículos de investigación, donde se determinó la pertinencia de cada uno de ellos para la investigación, sobre la base de su contribución a la convergencia tecnológica y el sistema financiero digital.
4. Convergencia tecnológica: resultados y discusión
El análisis de las revistas y los años de publicación se muestra en la Tabla 1, donde se evidencia que las publicaciones se concentran en los años 2018 y 2020. La revista que tiene mayor publicación es Technological Forecasting & Social Change el cual tiene el 23,4% de las publicaciones seleccionadas siendo el 2019 el año que cuenta con seis publicaciones.
Tabla 1
Publicaciones por revistas desde el 2017 al 2020
|
N° |
Revista |
2017 |
2018 |
2019 |
2020 |
2021 |
Total |
|
1 |
Journal of Management Studies |
1 |
1 |
||||
|
2 |
Mobile Media & Communication |
1 |
1 |
||||
|
3 |
Journal of Business Economics |
1 |
1 |
||||
|
4 |
Expert Systems with Applications |
1 |
1 |
||||
|
5 |
PloS one |
1 |
1 |
2 |
|||
|
6 |
Journal of Economics and Business |
1 |
1 |
||||
|
7 |
Risk Management |
1 |
1 |
||||
|
8 |
Electronic Commerce Research and Applications |
1 |
1 |
2 |
|||
|
9 |
Sustainability |
1 |
1 |
||||
|
10 |
Scientometrics |
2 |
1 |
1 |
4 |
||
|
11 |
Technovation |
2 |
2 |
||||
|
12 |
Japan and the World Economy |
1 |
1 |
||||
|
14 |
Information Processing & Management |
1 |
1 |
||||
|
15 |
Economic Modelling |
1 |
1 |
||||
|
16 |
Telematics and Informatics |
1 |
1 |
||||
|
17 |
Journal of the Japanese and International Economies |
1 |
1 |
||||
|
18 |
Forum for Social Economics |
1 |
1 |
||||
|
19 |
Journal of informetrics |
1 |
1 |
||||
|
20 |
AI & Society |
1 |
1 |
||||
|
21 |
Research Policy |
1 |
1 |
2 |
|||
|
22 |
International Journal of Bank Marketing |
1 |
1 |
||||
|
23 |
Journal of Financial Intermediation |
1 |
1 |
||||
|
24 |
Business Process Management Journal |
1 |
1 |
||||
|
25 |
Academy of Management Journal |
1 |
1 |
||||
|
26 |
Journal of Business Research |
1 |
1 |
||||
|
27 |
Technology Analysis & Strategic Management |
1 |
1 |
||||
|
28 |
Review of Quantitative Finance and Accounting |
1 |
1 |
||||
|
29 |
Technological Forecasting and Social Change |
2 |
2 |
6 |
1 |
11 |
|
|
Total |
6 |
15 |
15 |
10 |
1 |
47 |
Fuente: Elaboración de los autores.
Así mismo, en el Cuadro 2 se presentan los artículos más citados sobre convergencia tecnológica y sistema financiero digital. En los resultados se validaron la metodología utilizada en las investigaciones, se evidenció que solo dos artículos utilizaron encuesta para validar su modelo de estudio.
Cuadro 2
Artículos más citados de convergencia tecnológica y sistema financiero digital
|
Año |
Autor (es) |
Título del artículo |
Conclusión |
|
2020 |
Kim, Y. J., & Lee, D. H. |
Redes de convergencia tecnológica para una aplicación flexible de la pantalla: Un análisis comparativo de los recién llegados (Corea del Sur) y los líderes (Japón) |
La convergencia tecnológica, es un factor determinante de la competitividad industrial y se espera que ayude a construir la cartera de convergencia tecnológica en el futuro. |
|
2020 |
Li, Wu & Xiao. |
El impacto de las finanzas digitales en el consumo de los hogares: evidencia de China |
Las finanzas digitales promueven el consumo de hogares en artículos recurrentes y con menos activos, ingresos y conocimientos financieros. |
|
2020 |
Yu, Zhao, Xue & Gao. |
Investigación sobre el uso de la financiación digital y la adopción de técnicas de control ecológico por parte de las explotaciones agrícolas familiares en China |
El uso de las finanzas digitales mejora las tasas de adopción de técnicas de control, disponibilidad de crédito, adquisición de información y confianza social. |
|
2019 |
Kong, Zhou, Liu & Xue |
Desplegar el proceso de convergencia del conocimiento científico para la identificación temprana de las tecnologías emergentes |
El proceso de convergencia revelado por el análisis bioinformática, evidencia la etapa de incubación, que cambia rápidamente, y la etapa de desarrollo, más estable. |
|
2019 |
Kim, J., Kim, S., & Lee, C. |
Anticipando la convergencia tecnológica: Predicción de enlaces usando los hipervínculos de Wikipedia |
La convergencia tecnológica, orienta reacción organizativa oportuna a desafíos tecnológicos permeables, apoyando decisiones dentro de límites aceptables de tiempo y costo |
|
2019 |
Sick, Preschitschek, Leker & Bröring. |
Un nuevo marco para evaluar la convergencia de la industria en entornos de alta tecnología |
En el proceso de convergencia, se puede observar en una serie de diferentes entornos de alta tecnología de información (IT) y la nanobiotecnología. |
|
2019 |
Aaldering, Leker & Song |
Descubrir la dinámica de la convergencia del mercado a través de fusiones y adquisiciones |
Empresas de software y servicios han actuado como disparador de convergencia y receptor en la industria de la biotecnología al describir las rutas de causa y efecto. |
|
2019 |
Kose, T., & Sakata, I. |
Identificar la convergencia tecnológica en el campo de la investigación en robótica |
El uso combinado de análisis de redes de citación y similitud de tecnología de medición, permitió extraer la convergencia de la tecnología con mayor precisión y eficacia. |
|
2019 |
Lee, Kogler & Lee |
La captura de información sobre la convergencia de la tecnología, la colaboración internacional y el flujo de conocimientos a partir de los documentos de patente: Un caso de tecnología de la información y la comunicación |
El espacio de la colaboración indica que los Estados Unidos ha mantenido posición de centro mundial. Una limitación es la omisión de tendencias de países por tecnología. |
|
2019 |
Stucki & Woerter. |
Lo privado vuelve al conocimiento: Una comparación de las TIC, las biotecnologías, las nanotecnologías y las tecnologías verdes |
El conocimiento en TIC muestra efectos sobre productividad y saber en biotecnología. Las tecnologías verdes y nano tecnologías muestra efecto moderado en productividad. |
|
2018 |
Park & Yoon. |
Descubrimiento de oportunidades tecnológicas para la convergencia tecnológica basada en la predicción del flujo de conocimientos tecnológicos en una red de citaciones |
Las empresas buscan temas tecnológicos para la convergencia, teniendo en cuenta su capacidad tecnológica, preparando el desarrollo tecnológico estratégico en el futuro. |
|
2018 |
Lim, Kwon & Lee. |
Convergencia tecnológica en el ecosistema de arranque de la Internet de las Cosas (IoT): Un análisis de la red |
Las nuevas empresas de Internet de las cosas (IoT), han creado nuevas tecnologías dentro del entorno empresarial, dentro del ecosistema de empresas de nueva creación. |
|
2018 |
Wang, Porter, Wang & Carley. |
Un enfoque para identificar los temas emergentes de la convergencia tecnológica: Un estudio de caso para la impresión en 3D |
La convergencia tecnológica (CT) refleja procesos de desarrollo en diferentes campos tecnológicos. La promesa es resultados que superan la suma de sus subpartes. |
|
2018 |
Ozili. |
Impacto de las finanzas digitales en la inclusión y la estabilidad financieras |
La financiación digital a través de proveedores de Fintech tiene efectos positivos para la inclusión financiera en las economías emergentes y avanzadas. |
|
2017 |
Song, Elvers & Leker. |
Anticipación de las áreas tecnológicas convergentes - Un enfoque refinado para la identificación de campos de innovación atractivos |
La convergencia tecnológica no solo cambió la forma en que una empresa interactúa con el medio ambiente, sino que también empodera a los consumidores. |
Fuente: Elaboración de los autores.
4. Resultados y discusión
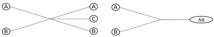
En cuanto a convergencia de los conocimientos científicos, constituye la etapa inicial de la convergencia tecnológica y a su vez es el proceso de transformación de la convergencia del conocimiento científico en potenciales de innovación (Park & Yoon, 2018). En la revisión se evidenció dos formas de convergencia del conocimiento científico correspondientes a la convergencia tecnológica (Figura 1). La primera forma es la convergencia de dos campos científicos (A y B) para formar un nuevo campo científico (C). Se resumen en la figura en tipo A + B = A + B + C. La otra forma es la convergencia y complementariedad de dos campos científicos (A y B) para formar un nuevo campo científico (AB) y reemplazar el campo original (Zhou et al., 2019).
Figura 1
Dos formas diferentes de convergencia del conocimiento
Fuente: Zhou et al, (2019).
El proceso de generación de conocimiento en nuevas tecnologías puede interpretarse como constructor de competencias, ya que se espera que los nuevos conocimientos principalmente genéricos, sean necesarios para ser competitivos en el desarrollo de nuevas tecnologías (Stucki & Woerter, 2019). Algunos estudios han utilizado métodos cualitativos para examinar la convergencia, incluida la recopilación de conocimientos de expertos (Zhou et al., 2019) y la elaboración de mapas de ruta de tecnología (Woo & Choi, 2018).
Por otro lado, en la convergencia tecnológica, es importante el análisis oportuno de los campos tecnológicos convergentes, permitiendo a empresas innovadoras ejercer una influencia positiva en la cadena de valor cambiante, vinculando sus capacidades internas y externas de manera eficiente (Song, Elvers & Leker, 2017). Una muestra de ello es el éxito del iPhone de Apple, como resultado de la convergencia tecnológica digital, añade nuevas funcionalidades al producto básico que existía en el mercado, sino que crea una nueva oportunidad comercial para los servicios basados en el contenido (Teece, 2018).
En ese sentido, el punto común en la literatura sobre la convergencia tecnológica, es el crecimiento e innovación futura basada en tecnologías, la cooperación entre empresas y reconformar la actitud de la gestión hacia los mercados convergentes (Park & Yoon, 2018). Así mismo, se tiene algunos estudios que proponen el uso de índices de red como la entropía y la gravedad (Lee & Sohn, 2017); para medir la convergencia tecnológica y la relación entre los campos de la tecnología (Kim, Kim & Lee, 2019).
Se debe tener en cuenta que la tecnología digital tiene el impacto más profundo en todo tipo de industrias, considerando a la convergencia digital, el punto de partida de la noción que la frontera entre el mundo virtual y físico se vuelve cada vez más difuso (Song, Elvers & Leker, 2017), y la no existencia de industrias únicas que pueda retrasar la necesidad de rendir beneficios de tecnología digital (Woo & Choi, 2018).
En la convergencia de mercados, es importante considerar que las organizaciones han podido gestionar innovación y afrontar desafíos asociados a ellos, con el fin de crear valor para los clientes y enriquecer su cadena de valor (Aaldering et al, 2019). Por otro lado, se debe considerar las fusiones y adquisiciones, encontradas predominantemente en las industrias de telecomunicaciones (Wang, Tan & Li, 2018). Por lo tanto, la convergencia del mercado se puede identificar a través de una visión general de nuevas combinaciones producto-mercado o de las perspectivas de expertos, que son difíciles de implementar en la práctica de gestión (Park, 2018).
Asimismo, la convergencia industrial debe considerar que, si los nuevos desarrollos tecnológicos pueden proporcionar valor para diferentes aplicaciones, las adopten y generen convergencia en distintas plataformas tecnológicas (Sick et al, 2019). La convergencia tecnológica es importante porque los avances en TI y los nuevos materiales pueden alterar las industrias existentes y afectar ampliamente a otras industrias (Kim, Kim & Lee, 2019).
Por ejemplo, los teléfonos inteligentes se crearon a través de la convergencia de varios tipos de tecnologías claves de la información y la comunicación (TIC) (Deng et al, 2019). La investigación sobre la convergencia de la tecnología a nivel industrial utilizó datos de patentes porque se consideran un indicador de la innovación tecnológica (Sick et al, 2019) analizando información de concordancia industria-patente, como la clasificación estándar (SIC) y la concordancia de la clasificación internacional de patentes (IPC) (Song, Elvers & Leker, 2017).
Por otro lado, las finanzas digitales tienen amplios beneficios (Scott, Van Reenen & Zachariadis, 2017). En primer lugar, pueden conducir a una mayor inclusión financiera, la expansión de los servicios financieros a los sectores no financieros y la expansión de los servicios básicos a las personas que poseen un teléfono móvil; en segundo lugar, tienen el potencial de proporcionar un servicio bancario asequible, conveniente y seguro a las personas pobres de los países en desarrollo; en tercer lugar, conducen a una mayor estabilidad económica y una mayor intermediación financiera, tanto para los clientes como para la economía en la que residen ellos y sus familias.
En cuarto lugar, la innovación en las finanzas digitales puede tener efectos positivos a largo plazo para el desempeño bancario; en quinto lugar, tienen beneficios para los reguladores del sistema financiero y monetario porque la adopción de las finanzas digitales a gran escala, puede reducir significativamente la circulación de dinero falso (Ozili, 2018). En la misma línea, se examinó el impacto en el desempeño bancario de la adopción de SWIFT, una infraestructura tecnológica basada en redes y estándares para las telecomunicaciones interbancarias en todo el mundo (Scott et al, 2017).
Finalmente, las nuevas empresas de Internet de las cosas (IoT) han creado tecnologías dentro del entorno empresarial denominados ecosistemas de creación (Li, Wu & Xiao, 2020). A partir de ello, empresas de software y servicios han actuado como disparadores de convergencia al describir las rutas de causa y efecto (Aaldering et al, 2020; Lee et al, 2019), teniendo en cuenta el desarrollo tecnológico estratégico en el futuro (Park & Yoon, 2018).
El uso combinado de análisis de redes de citación y similitud de tecnología de medición, permitió extraer la convergencia de la tecnología con mayor precisión y eficacia (Kose & Sakata, 2019), centrado en el análisis bioinformático, evidenciando la etapa de incubación que cambia rápidamente a una etapa de desarrollo estable (Zhou et al, 2019). También, estudios confirman que la convergencia tecnológica cambió la forma en que una empresa interactúa con el medio ambiente, mediante las tecnologías verdes (nano y bio), en términos de productividad (Sick et al, 2019; Stucki & Woerter, 2019).
La convergencia tecnológica (CT) refleja procesos de desarrollo en diferentes campos tecnológicos, orienta la reacción organizativa oportuna a desafíos tecnológicos permeables de tiempo y costo, factor determinante de la competitividad en la cartera tecnológica en el futuro (Wang et al, 2019; Kim & Lee, 2020; Kim et al, 2020). En ese contexto, orientado a las finanzas digitales mejoran las tasas de adopción de técnicas de control, disponibilidad de crédito, adquisición de información y confianza social (Yu et al., 2020), promoviendo que hogares con menos activos, ingresos y conocimientos financieros, obtengan mayores ingresos, mediado por las Fintech brinda efectos positivos de inclusión financiera en economías emergentes y avanzadas (Li et al, 2020; Ozili, 2020).
5. Conclusiones
La convergencia tecnológica tiene impacto sobre el sistema financiero digital, debido al cambio en la forma en que una empresa interactúa con el mercado y sus clientes, así como el empoderamiento de los consumidores al brindarles la oportunidad de compartir activamente sus servicios y promover interacción con ellos en tiempo real, produciendo de esta forma la interconexión a través de diversas plataformas tecnológicas.
La convergencia tecnológica puede establecer o predecir de manera estable en la industria de rápido desarrollo, servicios, financiera y global, siendo esta más amplia debido al alcance de los campos tecnológicos, indispensable a través del aprendizaje y adaptación, mediante un proceso sistemático que genera efectos positivos a nuevas soluciones tecnológicas y nuevos dispositivos.
En el mismo sentido, las Fintech se expandieron rápidamente en el mercado financiero y se plantea la cuestión si las mismas reemplazaran a las instituciones financieras tradicionales o no. El sector financiero global está experimentando grandes cambios y los bancos no son ajenos a este fenómeno. Finalmente, las Fintech encuentran atractivo el sector para empezar a ofrecer soluciones tecnológicas a los clientes y realizar servicios financieros sin la necesidad de ir a una agencia física bancaria; sumando a ello dificultades técnicas en su operatividad.
Referencias Bibliográficas
Aaldering, L., Leker, J. & Song, C. (2019). Uncovering the dynamics of market convergence through M&A. Technological Forecasting and Social Change, 138(1), 95-114. https://doi.org/10.1016/j.techfore.2018.08.012
Cefis, E., Marsili, O. & Rigamonti, D. (2020). In and Out of Balance: Industry Relatedness, Learning Capabilities and Post‐Acquisition Innovative Performance. Journal of Management Studies, 57(2), 210-245. https://doi.org/10.1111/joms.12441
Chen, M., Wu, Q., & Yang, B. (2019). How valuable is FinTech innovation? The Review of Financial Studies, 32(5), 2062-2106. https://doi.org/10.1093/rfs/hhy130
Deng, T., Kanthawala, S., Meng, J., Peng, W., Kononova, A., Hao, Q., Zhang, Q. & David, P. (2019). Measuring smartphone usage and task switching with log tracking and self-reports. Mobile Media & Communication, 7(1), 3-23. https://doi.org/10.1177/2050157918761491
Frank, A., Mendes, G., Ayala, N. & Ghezzi, A. (2019). Servitization and Industry 4.0 convergence in the digital transformation of product firms: A business model innovation perspective. Technological Forecasting and Social Change, 141(1), 341-351. https://doi.org/10.1016/j.techfore.2019.01.014
Gomber, P., Koch, J. A., & Siering, M. (2017). Digital finance and FinTech: Current research and future research directions. Journal of Business Economics, 67(5), 537-580. https://doi.org/10.1007/s11573-017-0852-x
Hernández-Nieves, E., Hernández, G., Gil-González, A., Rodríguez-González, S. & Corchado, J. (2020). Fog computing architecture for personalized recommendation of banking products. Expert Systems with Applications, 140(1), 112900. https://doi.org/10.1016/j.eswa.2019.112900
Hwang, I. (2020). The effect of collaborative innovation on ICT-based technological convergence: A patent-based analysis. PloS one, 15(2), 1-20. https://doi.org/10.1371/journal.pone.0228616
Jagtiani, J. & Lemieux, C. (2018). Do fintech lenders penetrate areas that are underserved by traditional banks? Journal of Economics and Business, 100(1), 43-54. https://doi.org/10.1016/j.jeconbus.2018.03.001
Jakšič, M. & Marinč, M. (2019). Relationship banking and information technology: The role of artificial intelligence and FinTech. Risk Management, 21(1), 1-18. https://doi.org/10.2139/ssrn.3059426
Jocevski, M., Ghezzi, A. & Arvidsson, N. (2020). Exploring the growth challenge of mobile payment platforms: A business model perspective. Electronic Commerce Research and Applications, 40(1), 100908. https://doi.org/10.1016/j.elerap.2019.100908
Kim, D. & Choi, S. (2018). Impact of Construction IT Technology convergence innovation on business performance. Sustainability, 10(11), 3972. https://doi.org/10.3390/su10113972
Kim, J. & Lee, S. (2017). Forecasting and identifying multi-technology convergence based on patent data: the case of IT and BT industries in 2020. Scientometrics, 111(1), 47-65. https://doi.org/10.1007/s11192-017-2275-4
Kim, J., Kim, S. & Lee, C. (2019). Anticipating technological convergence: Link prediction using Wikipedia hyperlinks. Technovation, 79(1), 25-34. https://doi.org/10.1016/j.technovation.2018.06.008
Kim, Y., & Lee, D. (2020). Technology convergence networks for flexible display application: A comparative analysis of latecomers and leaders. Japan and the World Economy, 55(1), 101025. https://doi.org/10.1016/j.japwor.2020.101025
Kong, D., Yang, J. & Li, L. (2020). Early identification of technological convergence in numerical control machine tool: a deep learning approach. Scientometrics, 125(3), 1983-2009. https://doi.org/10.1007/s11192-020-03696-y
Kong, D., Zhou, Y., Liu, Y., Xue, L., (2017). Using the data mining method to assess the innovation gap: a case of industrial robotics in a catching-up country. Technological Forecasting & Social Change 144(1), 205-220. https://doi.org/10.1016/j.techfore.2017.02.035
Kose, T., & Sakata, I. (2019). Identifying technology convergence in the field of robotics research. Technological Forecasting and Social Change, 146(1), 751-766. https://doi.org/10.1016/j.techfore.2018.09.005
Krämer, J. & Wohlfarth, M. (2018). Market power, regulatory convergence, and the role of data in digital markets. Telecommunications Policy, 42(2), 154-171. https://doi.org/10.1016/j.telpol.2017.10.004
Lee, C., Hong, S. & Kim, J. (2021). Anticipating multi-technology convergence: a machine learning approach using patent information. Scientometrics, 1(1)1-30. https://doi.org/10.1007/s11192-020-03842-6
Lee, C., Kogler, D. & Lee, D. (2019). Capturing information on technology convergence, international collaboration, and knowledge flow from patent documents: A case of information and communication technology. Information Processing & Management, 56(4), 1576-1591. https://doi.org/10.1016/j.ipm.2018.09.007
Lee, C., Park, G. & Kang, J. (2018). The impact of convergence between science and technology on innovation. The Journal of Technology Transfer, 43(2), 522-544. https://doi.org/10.1007/s10961-016-9480-9
Lee, J. & Sohn, S. (2017). What makes the first forward citation of a patent occur earlier? Scientometrics, 113(1), 279-298. https://doi.org/10.1007/s11192-017-2480-1
León, M., Murillo, J. & Pincay, F. (2019). New technologies that minimize the environmental impact on production systems. Centro Sur Social Sciencie Journal, 4(2), 149-160.
Li, J., Wu, Y., & Xiao, J. (2020). The impact of digital finance on household consumption: Evidence from China. Economic Modelling, 86(1), 317-326. https://doi.org/10.1016/j.econmod.2019.09.027
Lim, S., Kwon, O., & Lee, D. H. (2018). Technology convergence in the Internet of Things (IoT) startup ecosystem: A network analysis. Telematics and Informatics, 35(7), 1887-1899. https://doi.org/10.1016/j.tele.2018.06.002
Martin-Fiorino, V., & Reyes, G. E. (2020). Desafíos y nuevos escenarios gerenciales como parte de la herencia del Covid-19. Revista Venezolana De Gerencia, 25(90), 722-734. https://doi.org/10.37960/rvg.v25i90.32413
Milian, E., Spinola, M. & de Carvalho, M. (2019). Fintechs: A literature review and research agenda. Electronic Commerce Research and Applications, 34(1), 1-21. https://doi.org/10.1016/j.elerap.2019.100833
Morikawa, M. (2019). Innovation in the service sector and the role of patents and trade secrets: Evidence from Japanese firms. Journal of the Japanese and International Economies, 51(1), 43-51. https://doi.org/10.1016/j.jjie.2018.10.003
Ozili, P. (2018). Impact of digital finance on financial inclusion and stability. Borsa Istanbul Review, 18(4), 329-340. https://doi.org/10.1016/j.bir.2017.12.003
Ozili, P. (2020). Financial inclusion research around the world: A review. Forum for Social Economics, 1(1), 1–23. http://dx.doi.org/10.2139/ssrn.3515515
Park, I. & Yoon, B. (2018). Technological opportunity discovery for technological convergence based on the prediction of technology knowledge flow in a citation network. Journal of informetrics, 12(4), 1199-1222. https://doi.org/10.1016/j.joi.2018.09.007
Park, S. (2018). The Fourth Industrial Revolution and implications for innovative cluster policies. AI & Society, 33(3), 433-445. https://doi.org/10.1007/s00146-017-0777-5
Pierrakis, Y. (2019). Peer-to-peer lending to businesses: Investors’ characteristics, investment criteria and motivation. The International Journal of Entrepreneurship and Innovation, 20(4), 239-251. https://doi.org/10.1177/1465750319842528
San Kim, T. & Sohn, S. (2020). Machine-learning-based deep semantic analysis approach for forecasting new technology convergence. Technological Forecasting and Social Change, 157(1), 120095. https://doi.org/10.1016/j.techfore.2020.120095
Santoro, G., Vrontis, D., Thrassou, A. & Dezi, L. (2018). The Internet of Things: Building a knowledge management system for open innovation and knowledge management capacity. Technological forecasting and social change, 136(1), 347-354. https://doi.org/10.1016/j.techfore.2017.02.034
Scott, S., Van Reenen, J. & Zachariadis, M. (2017). The long-term effect of digital innovation on bank performance: An empirical study of SWIFT adoption in financial services. Research Policy, 46(5), 984-1004. https://doi.org/10.1016/j.respol.2017.03.010
Shankar, A. & Jebarajakirthy, C. (2019). The influence of e-banking service quality on customer loyalty. International Journal of Bank Marketing, 37(5), 1119-1142. https://doi.org/10.1108/IJBM-03-2018-0063
Sick, N., Preschitschek, N., Leker, J., & Bröring, S. (2019). A new framework to assess industry convergence in high technology environments. Technovation, 84(1), 48-58. https://doi.org/10.1016/j.technovation.2018.08.001
Song, C., Elvers, D. & Leker, J. (2017). Anticipation of converging technology areas—A refined approach for the identification of attractive fields of innovation. Technological Forecasting and Social Change, 116(1), 98-115. https://doi.org/10.1016/j.techfore.2016.11.001
Stucki, T. & Woerter, M. (2019). The private returns to knowledge: A comparison of ICT, biotechnologies, nanotechnologies, and green technologies. Technological Forecasting and Social Change, 145(1), 62-81. https://doi.org/10.1016/j.techfore.2019.05.011
Teece, D. (2018). Profiting from innovation in the digital economy: Enabling technologies, standards, and licensing models in the wireless world. Research Policy, 47(8), 1367-1387. https://doi.org/10.1016/j.respol.2017.01.015
Thakor, A. (2020). Fintech and banking: What do we know? Journal of Financial Intermediation, 41(1), 100833. https://doi.org/10.1016/j.jfi.2019.100833
Thomas, A. (2019). Convergence and digital fusion lead to competitive differentiation. Business Process Management Journal, 26(3), 707-720. https://doi.org/10.1108/BPMJ-01-2019-0001
Torres, A. & Zúñiga, A. (2019). Analysis of traffic modeling tools in SDN networks. Centro Sur Social Science Journal, 4(2), 1-15.
Uzunca, B. (2018). A competence-based view of industry evolution: The impact of submarket convergence on incumbent−entrant dynamics. Academy of Management Journal, 61(2), 738-768. https://doi.org/10.5465/amj.2015.1080
Wang, L., Tan, J. & Li, W. (2018). The impacts of spatial positioning on regional new venture creation and firm mortality over the industry life cycle. Journal of Business Research, 86(1), 41-52. https://doi.org/10.1016/j.jbusres.2018.01.020
Wang, Z., Porter, A., Wang, X. & Carley, S. (2019). An approach to identify emergent topics of technological convergence: A case study for 3D printing. Technological Forecasting and Social Change, 146(1), 723-732. https://doi.org/10.1016/j.techfore.2018.12.015
Woo, S. & Choi, J. (2018). Knowledge sources and recombination capabilities in developing new convergent products. Technology Analysis & Strategic Management, 30(2), 227-240. https://doi.org/10.1080/09537325.2017.1300249
Yan, T., Schulte, P. & Chuen, D. (2018). InsurTech and FinTech: banking and insurance enablement. Handbook of Blockchain, Digital Finance, and Inclusion, 1(1), 249-281. https://doi.org/10.1016/B978-0-12-810441-5.00011-7
Yu, L., Zhao, D., Xue, Z. & Gao, Y. (2020). Research on the use of digital finance and the adoption of green control techniques by family farms in China. Technology in Society, 62(1), 101323. https://doi.org/10.1016/j.techsoc.2020.101323
Zhang, J., McBurney, P. & Musial, K. (2018). Convergence of trading strategies in continuous double auction markets with boundedly-rational networked traders. Review of Quantitative Finance and Accounting, 50(1), 301-352. https://doi.org/10.1007/s11156-017-0631-3
Zhou, Y., Dong, F., Kong, D. & Liu, Y. (2019). Unfolding the convergence process of scientific knowledge for the early identification of emerging technologies. Technological Forecasting and Social Change, 144(1), 205-220. https://doi.org/10.1016/j.techfore.2019.03.014