Universidad del Zulia (LUZ)
Revista Venezolana de Gerencia (RVG)
Año 30 No. 111, 2025, 1568-1583
Julio-Septiembre
ISSN 1315-9984 / e-ISSN 2477-9423
Como citar: Sumba, N., y Sanchez-Bayón, A. (2025). Factores influyentes en la elección universitaria en Ecuador: análisis desde la síntesis neoclásica y la economía conductual. Revista Venezolana de Gerencia, 30(111), 1568-1583. https://doi.org/10.52080/rvgluz.30.111.20
Factores influyentes en la elección universitaria en Ecuador: análisis desde la síntesis neoclásica y la economía conductual
Sumba, Nicolás*
Sanchez-Bayón, Antonio*
Resumen
Esta investigación analiza los factores que influyen en la elección universitaria en Ecuador, diferenciando los de la síntesis neoclásica y la economía conductual, evaluando la relevancia de la infraestructura, reputación institucional, oferta educativa, factores económicos, ubicación, conocimientos previos, influencia social, vida social y factores individuales. Para ello se realizó un estudio descriptivo con enfoque cuantitativo mediante una encuesta a 633 estudiantes de universidades privadas ecuatorianas, aplicando métodos estadísticos descriptivos e inferenciales. Los resultados indican que la reputación institucional, la oferta educativa y los factores económicos son los más valorados, seguidos por la vida social y los factores individuales. La infraestructura también se destacó como un componente relevante en la decisión. Aunque los factores tradicionales siguen siendo prioritarios en la elección universitaria, los aspectos relacionados con la economía conductual aportan una nueva perspectiva que refuerza la necesidad de estrategias institucionales más integrales para atraer estudiantes en un entorno competitivo.
Palabras clave: economía conductual; heurísticas; reputación institucional; sesgos cognitivos.
Recibido: 29.01.25 Aceptado: 16.04.25
* La presente investigación fue financiada por la Universidad Politécnica Salesiana del Ecuador, como parte del programa de formación doctoral de uno de los autores en la Universidad Rey Juan Carlos de España. Este respaldo proporcionó los recursos necesarios para la ejecución del proyecto de investigación en su conjunto.
** Doctorando en Ciencias Sociales y Jurídicas en la Universidad Rey Juan Carlos, Escuela Internacional de Doctorado: Madrid, España. Máster en Administración de Empresas y miembro del Grupo de Investigación Socio-Económica y Empresarial (GISEE) y del Grupo de Innovación Educativa Tecnologías de la Información y Comunicaciones en el proceso de enseñanza – aprendizaje (GIE-TICEA). Email: n.sumba.2022@alumnos.urjc.es, ORCID: https://orcid.org/0000-0001-7163-4252
*** Doctor y licenciado en Derecho-UCM, Doctor en Humanidades-Teología-Univ. Murcia, Doctor en Humanidades-Sociología-Univ. Valladolid, Doctor y CAP en Filosofía-UCM, Doctor en Economía-UCM (ibídem), Doctor en Economía y Empresa-UMA, Doctorando en Educación-URJC, Máster Univ. Economía de la Escuela Austriaca-URJC, Máster degree en Finanzas-IEB-UCM, Lcdo. en Ciencia Política y de la Administración-UCM. Email: antonio_sanchez_bayon@hotmail.com, antonio.sbayon@urjc.es ORCID: https://orcid.org/0000-0003-4855-8356
Factors influencing university choice in Ecuador: An analysis from neoclassical synthesis and behavioral economics
Abstract
This research analyzes the factors that influence university choice in Ecuador, differentiating between those of the neoclassical synthesis and behavioral economics, assessing the relevance of infrastructure, institutional reputation, educational offerings, economic factors, location, prior knowledge, social influence, social life, and individual factors. A descriptive study with a quantitative approach was conducted through a survey of 633 students from private Ecuadorian universities, applying descriptive and inferential statistical methods. The results indicate that institutional reputation, educational offerings, and economic factors are the most valued, followed by social life and individual factors. Infrastructure also stood out as a relevant component in the decision. Although traditional factors remain a priority in university choice, aspects related to behavioral economics provide a new perspective that reinforces the need for more comprehensive institutional strategies to attract students in a competitive environment.
Keywords: Behavioral economics; heuristics; institutional reputation; cognitive biases.
1. Introducción
La elección de una universidad para cursar los estudios superiores es una decisión trascendental que influye en el desarrollo académico y profesional de los estudiantes. Este proceso está determinado por una variedad de factores que interactúan de manera compleja, incluyendo aspectos individuales, familiares, sociales y económicos.
Diversos estudios han identificado factores clave que los estudiantes consideran al seleccionar una universidad y sus estudios (Avendaño y Magaña, 2018; Sánchez y Trincado, 2021; Zulkifli et al., 2023). Entre los factores identificados se encuentran la reputación institucional, la calidad de la infraestructura, la oferta académica, las oportunidades de empleo posgraduación, la influencia de familiares y amigos, la ubicación geográfica y los costos asociados a la educación superior (Raposo y Alves, 2007; Zuniga-Jara et al., 2019; Gómez, 2023). Estos elementos no solo afectan la decisión inicial de matricularse en una institución, sino también la permanencia y éxito académico de los estudiantes.
En el contexto ecuatoriano, la investigación sobre los factores que influyen en la elección universitaria es limitada. Sin embargo, se observa que la percepción de prestigio de las instituciones de educación superior y la facilidad de inserción en el mercado laboral son aspectos determinantes en la decisión de los estudiantes. Además, factores como la infraestructura y la oferta académica también juegan un papel importante en la elección de carrera universitaria (Gómez, 2023).
A pesar de estos hallazgos, persiste la necesidad de una comprensión más integral de cómo interactúan estos factores en la mente de los estudiantes ecuatorianos al momento de elegir una universidad. Por lo tanto, el presente estudio se propone responder a la siguiente pregunta de investigación: ¿Cuáles son los factores clave que los estudiantes ecuatorianos consideran al decidir su universidad, y cómo interactúan estos factores en el proceso de toma de decisiones? El estudio tiene como objetivo analizar los factores clave que influyen en la elección universitaria en Ecuador, diferenciando aquellos de la síntesis neoclásica y la economía conductual.
2. Factores clave: precisiones desde la síntesis neoclásica y la economía conductual
La elección del centro de estudios superior es una decisión compleja que involucra múltiples factores. Estos pueden agruparse bajo dos enfoques teóricos: los que surgen de la síntesis neoclásica, caracterizados por un énfasis en la racionalidad y la maximización de utilidad, y aquellos que provienen desde el campo de la economía conductual, los cuales integran aspectos psicológicos y sociales en la toma de decisiones (Nacipucha y Sánchez, 2024; Sumba y Sánchez-Bayón, 2024).
2.1. Factores aportados desde la Síntesis Neoclásica
Desde la síntesis neoclásica, la elección universitaria se basa en una evaluación racional, donde los estudiantes comparan costos y beneficios para maximizar su utilidad presente y futura académica, profesional y financiera (Alanazi y Benlaria, 2023). Bajo este contexto, se consideran factores objetivos y mensurables, incluyendo infraestructura, costos de matrícula, reputación institucional y perspectivas de empleo (Maniu y Maniu, 2014). A continuación, se revisan los factores más destacados desde esta perspectiva:
a) Infraestructura: la calidad de las instalaciones físicas (aulas, laboratorios, bibliotecas) y los recursos tecnológicos influye significativamente en la elección de una universidad. De igual manera, el tamaño del campus, zonas comunes de aprendizaje, comedores, cafetería, gimnasio y centro médico son factores relacionados con la infraestructura que intervienen a la hora de elegir una universidad (Price et al., 2003; Patel y Patel, 2012). En este sentido, los estudiantes asocian una infraestructura moderna con mayores oportunidades de aprendizaje y comodidad (Siddik et al., 2024).
b) Reputación institucional: se basa en percepciones de calidad académica, empleabilidad y reconocimiento social. Gómez (2023) señala que los estudiantes prefieren universidades con alto prestigio, ya que esto mejora sus oportunidades laborales y validación social. La reputación o imagen institucional se percibe a través de factores como la edad de la universidad, acreditación, prestigio docente, rankings y marca universitaria (Gómez et al., 2020; Ganga et al., 2018; 2022). Diversos estudios confirman que la reputación es uno de los factores más importantes en la decisión universitaria (Pampaloni, 2010; Kim y Gasman, 2011).
c) Oferta educativa: la diversidad y pertinencia de los programas académicos representan un criterio fundamental para los aspirantes (Aydin, 2015). La conexión entre los programas ofrecidos y las demandas del mercado laboral es clave para atraer a estudiantes que buscan asegurar su futuro profesional. Es así que la preparación, oportunidades de empleo, ayuda en la búsqueda de trabajo —durante y después—, tasas de colocación laboral, mejores ofertas laborales, oportunidades de pasantías y ocupaciones mejor remuneradas son criterios analizados por los estudiantes (Bowman y Bastedo, 2009; Alanazi y Benlaria, 2023).
d) Factores económicos: bajo la perspectiva de la síntesis neoclásica, el enfoque económico adquiere una relevancia central, ya que asume que los estudiantes toman decisiones de manera racional, evaluando cada alternativa a través de un análisis detallado de costos y beneficios (Briggs y Wilson, 2007). Aquí se consideran el costo de matrícula y pensiones o mensualidades, movilización, alquiler de vivienda —en caso de optar por una universidad que esté geográficamente distante de su entorno familiar—, costo de materiales, las opciones de financiamiento, posibles becas y otras ayudas financieras (García y Moreno, 2012).
e) Ubicación: la proximidad geográfica y accesibilidad de la universidad también influyen en la elección. Para muchos estudiantes, la cercanía con su hogar reduce costos de transporte y facilita mantener conexiones familiares. Diversas investigaciones destacan que la ubicación geográfica de la institución, ya sea el campus, la ciudad o la proximidad al hogar, es uno de los factores más analizados por los aspirantes universitarios (Denzler y Wolter, 2010; Pigini y Staffolani, 2016).
2.2. Factores aportados por la economía conductual
En contraste con la síntesis neoclásica, la economía conductual ofrece un enfoque alternativo que desafía los supuestos de racionalidad absoluta y maximización de utilidad, resaltando la complejidad y las limitaciones inherentes a la toma de decisiones humanas (Tversky y Kahneman, 1973; Pérez y Rodríguez, 2022; Aguado, 2023). Este enfoque se centra en cómo los sesgos cognitivos, las heurísticas y los factores emocionales moldean las elecciones (Comeig et al., 2023; Reynoso y Arbaiza, 2023), incluso en contextos tan críticos como la selección de una universidad. En el caso de los estudiantes, estas decisiones no solo están influidas por evaluaciones objetivas, sino también por percepciones, emociones y contextos sociales que muchas veces contradicen los modelos tradicionales de racionalidad.
a) Conocimientos previos sobre la institución: La exposición inicial a una universidad a través de visitas al campus, publicidad o ferias educativas puede influir significativamente en las percepciones y decisiones de los estudiantes sobre las instituciones de enseñanza superior (Goldschneider, 2024). Este fenómeno puede explicarse por el concepto de heurística de disponibilidad, según el cual los individuos tienden a basarse en ejemplos inmediatos que les vienen a la mente a la hora de evaluar un tema o una decisión concreta (Tversky y Kahneman, 1973).
b) Influencia social: En el proceso de toma de decisiones para elegir universidad influyen considerablemente las opiniones y consejos de familiares, amigos y profesores. Este fenómeno, conocido como efecto de arrastre o bandwagon effect, refleja cómo las decisiones de otros pueden validar o influir en las propias. En este sentido, esta influencia puede venir desde diversos actores del entorno del estudiante: familia (Eldegwy et al., 2022; Nacipucha y Sánchez, 2024), amigos (Kusumawati et al., 2019) y profesores (Davies y Cook, 2009).
c) Vida social: La percepción de una experiencia universitaria integral, que incluya actividades extracurriculares, eventos sociales y oportunidades de networking, también es relevante. Según Gómez (2023), los estudiantes buscan universidades que ofrezcan no solo formación académica, sino también un entorno enriquecedor para su desarrollo personal y social, lo cual puede incluir programas deportivos, oportunidades de ocio, eventos organizados por la propia universidad, asociaciones/organizaciones estudiantiles, clubes y colectivos de estudiantes (Wiese et al., 2010).
d) Factores individuales: Las metas personales, aspiraciones profesionales y preferencias individuales son esenciales en el proceso de toma de decisiones. En este sentido, los estudiantes pueden priorizar factores que no siempre maximizan los beneficios económicos, sino que satisfacen necesidades emocionales y psicológicas (Maniu y Maniu, 2014), y basados en antecedentes académicos, logros e interés intrínseco en el campo (Owie, 2003), así como la facilidad con la que pudieran ser admitidos en la institución o la facilidad percibida para la aprobación de las asignaturas o cursos en dicha universidad.
e) Reputación institucional (efecto halo): Aunque ya mencionada desde la síntesis neoclásica, la reputación puede interpretarse también desde la economía conductual a través del efecto halo, donde una percepción positiva de la universidad en un aspecto, como la investigación, puede influir en la valoración general de otros factores, como la calidad docente (Tversky y Kahneman, 1973; Pitsakis et al., 2015).
La economía conductual pone en evidencia cómo las decisiones educativas están influenciadas por información incompleta y limitaciones cognitivas. En el contexto ecuatoriano, caracterizado por particularidades únicas en las condiciones socioeconómicas, culturales y educativas, este enfoque permite comprender mejor los factores que influyen en la elección universitaria. La combinación de ambas perspectivas teóricas —síntesis neoclásica y economía conductual— ofrece un marco integral para analizar de forma holística la elección universitaria.
3. Enfoque metodológico
Para alcanzar el objetivo principal de este estudio, se adoptó un estudio descriptivo con enfoque cuantitativo enmarcado en el paradigma positivista, el cual se basa en la objetividad y la medición empírica. El diseño de la investigación fue no experimental, transversal, permitiendo un análisis general de los factores y criterios valorados por los aspirantes universitarios en un entorno socioeconómico específico. Este enfoque se centró en registrar y analizar las percepciones observadas a través de la técnica de encuesta.
El cuestionario fue diseñado estratégicamente para captar las percepciones de importancia de los factores presentes en la elección universitaria, las cuales fueron recopiladas directamente de estudiantes de universidades privadas ecuatorianas que estaban cursando los primeros semestres. La recolección de datos se llevó a cabo mediante un cuestionario online y para el procesamiento de los datos se empleó IBM SPSS versión 28 y R Studio.
El promedio de estudiantes matriculados por año que inician una carrera de tercer nivel en las universidades del Ecuador asciende a 775,033 (Amaguaya, 2023). Para la selección de la muestra se optó por un método no probabilístico utilizando la técnica de bola de nieve, la cual facilitó el acceso a estudiantes de universidades privadas en las tres ciudades más importantes del Ecuador. Quito, Guayaquil y Cuenca.
La investigación utilizó como base el cuestionario desarrollado por Raposo y Alves (2007), donde intervienen las variables: reputación, oferta educativa, factores individuales, conocimiento previo sobre la universidad e influencia de otros; y lo complementa con las variables infraestructura, ubicación, vida social y costos, propuestas por Maniu y Maniu (2014). Esto con la intención de considerar todos los posibles factores que inciden en la elección de la universidad, logrando de esta forma un modelo combinado que considera tanto aspectos provenientes desde la síntesis neoclásica como desde la economía conductual.
El instrumento de investigación utilizado fue sometido a un proceso de validación previo a su aplicación. Las preguntas que conforman cada constructo fueron revisadas por expertos en las áreas de economía y gestión universitaria. Tras llevar a cabo las pruebas de validación necesarias, el instrumento final quedó conformado por 9 factores (37 ítems) evaluados en escala de Likert de cinco puntos. Infraestructura (4 ítems), Reputación de la institución (5), Oferta educativa (5), Factores económicos (4), Ubicación (3), Conocimientos previos sobre la institución (3), Influencia social (5), Vida social (4) y Factores individuales (4).
Posteriormente, se realizó un análisis de consistencia interna mediante el cálculo del alfa de Cronbach para cada una de las dimensiones evaluadas. Los resultados obtenidos, presentados en la tabla 1, reflejan una alta fiabilidad en todas las escalas utilizadas, lo que respalda la solidez metodológica del instrumento.
Tabla 1
Análisis de consistencia interna de los factores evaluados
|
Factor |
Número de ítems |
Alfa de Cronbach |
Consistencia Interna (Frías, 2022) |
|
Infraestructura |
4 |
0.932 |
Excelente |
|
Reputación de la institución |
5 |
0.901 |
Excelente |
|
Oferta Educativa |
5 |
0.940 |
Excelente |
|
Factores Económicos |
4 |
0.915 |
Excelente |
|
Ubicación |
3 |
0.788 |
Aceptable |
|
Conocimientos previos sobre la Institución |
3 |
0.840 |
Buena |
|
Influencia Social |
5 |
0.877 |
Buena |
|
Vida Social |
4 |
0.910 |
Excelente |
|
Factores Individuales |
4 |
0.911 |
Excelente |
Los ítems correspondientes a cada uno de los factores evaluados (Tabla 1) fueron sumados para calcular un puntaje total por participante (Allen y Seaman, 2007). Posteriormente, estos puntajes fueron promediados según las distintas categorías sociodemográficas, clasificándolos en tres niveles: alto, medio y bajo, en función del rango de posibles puntajes. La tabla 2 presenta esta categorización para cada uno de los 9 factores analizados.
Tabla 2
Baremo para la sumatorios de cada uno de los factores evaluados
|
Factor |
Número de ítems |
Categoría |
||
|
Bajo |
Medio |
Alto |
||
|
Infraestructura |
4 |
4-9.33 |
9.34-14.66 |
14.67-20 |
|
Reputación Institucional |
5 |
5-11.66 |
11.67-18.33 |
18.34-25 |
|
Oferta Educativa/Carrera |
5 |
5-11.66 |
11.67-18.33 |
18.34-25 |
|
Factores Económicos |
4 |
4-9.33 |
9.34-14.66 |
14.67-20 |
|
Ubicación |
3 |
3-7.33 |
7.34-11.66 |
11.67-15 |
|
Conocimientos Previos sobre la Institución |
3 |
3-7.33 |
7.34-11.66 |
11.67-15 |
|
Influencia Social |
5 |
5-11.66 |
11.67-18.33 |
18.34-25 |
|
Vida Social |
4 |
4-9.33 |
9.34-14.66 |
14.67-20 |
|
Factores individuales |
4 |
4-9.33 |
9.34-14.66 |
14.67-20 |
Finalmente, se realizaron pruebas de normalidad para evaluar la distribución de las variables. Dado que estas no siguieron una distribución normal, se adoptó un enfoque no paramétrico utilizando el método bootstrap, que permitió estimar intervalos de confianza para la mediana poblacional de la suma de cada una de las variables; esto proporcionó una visión más representativa de las percepciones generales de los factores analizados.
4. Factores que influyen en la elección universitaria: resultados
La encuesta fue contestada por un total de 633 estudiantes de universidades privadas. La distribución de la muestra reflejó una importante diversidad en género, edad y nivel socioeconómico. La mayoría de los participantes afirmaron tener entre 18 y 21 años (82.94%), con una ligera mayoría masculina (53.08%) en cuanto al género, mientras que los grupos medio (53.08%) y medio bajo (21.17%) representan la mayor proporción en relación con el nivel socioeconómico.
Para inferir sobre la importancia de cada uno de los factores en la elección del estudiante a nivel poblacional, se empleó un enfoque no paramétrico debido a la ausencia de normalidad en la distribución de los datos. La prueba de Kolmogorov-Smirnov (p < 0.001) confirmó que la suma de las respuestas de cada uno de los 9 factores no sigue una distribución normal, lo que justificó el uso de métodos alternativos basados en la mediana para realizar estimaciones. Por lo que se utilizó el método bootstrap con 1000 replicaciones, el cual permitió calcular un intervalo de confianza al 95% para la mediana poblacional sobre la escala original de los datos para cada uno de los nueve factores analizados.
4.1 Factores aportados desde la síntesis neoclásica
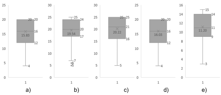
a) Infraestructura: El factor infraestructura fue altamente valorado, con un promedio total de 15.83, ubicándose en el rango alto del baremo. Los estudiantes de nivel socioeconómico “alto” registraron el mayor promedio (20 puntos), indicando que equipamientos como aulas, laboratorios, talleres y bibliotecas son determinantes en la elección universitaria. En términos de género, las mujeres otorgaron una valoración ligeramente superior (15.93 vs. 15.73 en hombres). El análisis bootstrap confirmó una mediana poblacional entre 16 y 17, confirmando la valoración positiva de la infraestructura universitaria en su elección.
b) Reputación institucional: Este factor obtuvo un promedio general de 19.54, dentro del rango alto del baremo, con una mediana poblacional entre 20 y 21. Los estudiantes de nivel “alto” valoraron considerablemente más la reputación de la institución (23.67), mientras que, en términos de género, los hombres presentaron un promedio ligeramente mayor (19.74 vs. 19.30 en mujeres). Estos resultados subrayan la importancia de la reputación como un criterio relevante en la elección universitaria.
c) Oferta educativa/carrera: El factor obtuvo un promedio general de 20.22 (rango alto) y una mediana de 21. Este resultado señala que, para la mayoría de los estudiantes, este factor desempeñó un rol importante en su decisión de elegir la institución universitaria, consolidándose como uno de los elementos más valorados en el proceso de selección. Los estudiantes de nivel “alto” alcanzaron la puntuación máxima (25 puntos), seguidos por el nivel “medio alto” (21.35). Las mujeres valoraron este factor ligeramente más que los hombres (20.43 vs. 20.02). El análisis bootstrap reveló que la mediana poblacional oscila entre 21 y 22, lo que remarca la importancia de diseñar estrategias institucionales que destacen la calidad y diversidad de la oferta académica.
d) Factores económicos: El promedio general fue de 16.03 (rango alto), con diferencias marcadas según nivel socioeconómico. Los estudiantes de nivel “alto” valoraron este factor en 20 puntos, mientras que los niveles “medio” y “medio bajo” registraron promedios más bajos (16.01 y 15.66, respectivamente). Estas diferencias evidencian cómo la relevancia de los factores económicos varía entre los diferentes segmentos socioeconómicos. En género, las mujeres otorgaron un promedio ligeramente superior (16.41 vs. 15.69 en hombres). El análisis bootstrap situó la mediana poblacional entre 16 y 17, confirmando la importancia de los factores económicos, especialmente en grupos con mayor poder adquisitivo.
e) Ubicación: La ubicación de la universidad mostró una valoración moderada, con un promedio general de 11.20. Los estudiantes del nivel “alto” alcanzaron la máxima puntuación posible (15 puntos), mientras que los del nivel “medio bajo” registraron el promedio más bajo (10.63). Las mujeres valoraron este factor ligeramente más que los hombres (11.29 vs. 11.08). La mediana poblacional fue de 11, con un intervalo de confianza entre 11 y 12, confirmando que, aunque la ubicación no fue el factor más determinante, su relevancia varía entre los diferentes segmentos demográficos, particularmente entre niveles socioeconómicos.
Los resultados de estos cinco factores analizados —que provienen de la síntesis neoclásica— permiten señalar su relevancia teórica en la decisión de elección universitaria. Sin embargo, reflejan patrones diferenciados según las variables demográficas, consolidando la importancia de estos factores en el contexto ecuatoriano. En el gráfico 1, se presentan diagramas de caja y bigotes que resumen visualmente las distribuciones para cada uno de los factores evaluados, proporcionando una perspectiva gráfica de su variabilidad.
Gráfico 1
Importancia percibida de factores neoclásicos: a) infraestructura, b)reputación, c)oferta, d)economía y e)ubicación
4.2 Factores aportados desde la economía conductual
a) Conocimientos previos sobre la institución: Este factor obtuvo un promedio general de 10.75, ubicándose en el rango moderado. Aunque es un aspecto considerado en la elección universitaria, no tuvo una relevancia destacada. Los estudiantes del nivel socioeconómico “alto” mostraron el mayor promedio (14.33), mientras que los niveles “medio bajo” y “bajo” presentaron valores cercanos (10.54 y 10.61). En cuanto al género, las diferencias fueron mínimas (10.85 en hombres vs. 10.57 en mujeres). La mediana poblacional entre 10 y 11 confirma la consistencia de estos resultados, resaltando que este factor tiene un impacto más significativo en segmentos socioeconómicos altos.
b) Influencia social: Con un promedio general de 16.84, este factor se posicionó en el rango alto, evidenciando que la influencia de familiares, amigos y otras personas en el entorno del estudiante desempeñó un papel relevante en su decisión de elección universitaria. Los estudiantes del nivel “medio alto” mostraron la valoración más alta (17.98), mientras que el nivel “medio” presentó la más baja (16.56). En términos de género, los hombres obtuvieron un promedio ligeramente mayor (16.93 vs. 16.58 en mujeres). La mediana poblacional entre 16 y 17 confirma la consistencia de estos resultados, destacando su impacto en ciertos segmentos, especialmente en estudiantes de niveles socioeconómicos más altos.
c) Vida social: El factor vida social registró un promedio general de 14.61 (rango moderado). Esto indica que, si bien las oportunidades de socialización ofrecidas por las universidades son consideradas relevantes, no llegan a ser un factor decisivo para la mayoría de los estudiantes. Los estudiantes de nivel “alto” reportaron el promedio más elevado (19.67, rango alto), mientras que los niveles “medio bajo” y “medio” mostraron valores menores (14.09 y 14.51). Respecto al género, los hombres obtuvieron un promedio ligeramente superior (14.67 vs. 14.48 en mujeres). La mediana poblacional entre 14 y 16 confirma la consistencia de estos resultados; aunque la vida social es un aspecto valorado, su impacto en la decisión de elección universitaria depende de las características particulares de cada grupo estudiado.
d) Factores individuales: Este factor obtuvo un promedio de 15.45 (rango alto), indicando que las características personales de los estudiantes, como metas, intereses y habilidades, desempeñaron un papel relevante en su decisión de elección universitaria. Los estudiantes del nivel “alto” mostraron el promedio más alto (18.67), mientras que los niveles “medio” y “medio bajo” obtuvieron promedios más cercanos entre sí (15.42 y 15.13). En cuanto al género, las mujeres reportaron una valoración ligeramente mayor (15.70 vs. 15.18 en hombres). La mediana poblacional entre 15 y 16 reafirma la importancia de estos factores en la decisión final.
Los factores que son aportados por la economía conductual, como conocimientos previos sobre la institución, influencia social, vida social y factores individuales, han demostrado ser elementos considerados en la decisión de los estudiantes al elegir una universidad. Los resultados revelaron patrones diferenciados según las variables demográficas, resaltando su importancia en contextos específicos. En el gráfico 2 se presentan diagramas de caja y bigotes que sintetizan gráficamente las distribuciones de cada uno de estos factores.
Gráfico 2
Importancia percibida de factores conductuales: a) conocimientos previos sobre la institución, b)influencia social, c)vida social, d)factores individuales
Tal como se aprecia en el gráfico 3, los factores desde la síntesis neoclásica, como infraestructura, reputación institucional, oferta educativa, factores económicos y ubicación, muestran una valoración predominantemente alta, con énfasis en la oferta educativa (68%) y la reputación institucional (65%), sin embargo es necesario señalar nuevamente que la reputación universitaria tiene sus matices y que puede ser considerada tanto desde la perspectiva de la síntesis neoclásica como desde la economía conductual. Estos resultados evidencian que los elementos objetivos y estructurales de las universidades son fundamentales en la percepción de calidad por parte de los estudiantes.
Gráfica 3
Valoración general de los factores que inciden en la elección universitaria
Por otro lado, los factores de la economía conductual presentan una mayor diversidad en las valoraciones. Los factores individuales destacan con un 54% en la categoría alta, seguidos de la vida social con un 48%, lo que refleja la relevancia de las características personales y el entorno social en la percepción de los estudiantes. En la categoría moderada, la influencia social (43%) y los conocimientos previos (57%) sobresalen, evidenciando cómo las interacciones sociales y las percepciones previas sobre la institución también juegan un papel moderado en las decisiones estudiantiles.
En conjunto, este análisis de los resultados permite señalar que las decisiones estudiantiles están marcadas tanto por factores estructurales objetivos como por percepciones y contextos individuales, por lo que es necesario resaltar la importancia de integrar ambos enfoques en estrategias de posicionamiento institucional.
El análisis de los nueve factores que influyen en la elección universitaria en Ecuador muestra una jerarquización clara entre los factores de la síntesis neoclásica y la economía conductual. En un país en vías de desarrollo, donde los recursos son limitados, los estudiantes priorizan la oferta educativa (68%) y los factores económicos (61%), reflejando la importancia de programas académicos de calidad con alta empleabilidad y la necesidad de financiamiento para reducir barreras económicas. Estos hallazgos coinciden con Patel y Patel (2012) y Briggs y Wilson (2007), quienes destacan la importancia de los costos y la percepción de calidad en contextos de recursos limitados.
La reputación institucional (65%) es un factor transversal analizable desde ambas perspectivas teóricas: en la síntesis neoclásica, como un indicador de calidad y prestigio organizacional (Bowman y Bastedo, 2009); y en la economía conductual, mediante sesgos cognitivos como el efecto halo y la heurística de disponibilidad (Pampaloni, 2010; Pitsakis et al., 2015). Además, la infraestructura (60%) es un componente crítico para los estudiantes de niveles socioeconómicos altos, revelando la importancia de laboratorios, bibliotecas y campus modernos en la competitividad institucional.
Desde la economía conductual, los factores individuales (54%) y la vida social (48%) evidencian que la elección universitaria no solo responde a criterios académicos y económicos, sino también a la integración social y el bienestar personal. Esto concuerda con Kim y Gasman (2011), quienes destacan la influencia de la pertenencia y socialización en las elecciones educativas, especialmente en contextos de adaptación cultural. Por otro lado, los factores de influencia social (43%) y los conocimientos previos (30%) se perciben mayoritariamente en el nivel moderado, lo que señala que la referencia social y la exposición previa a las instituciones tienen un peso menor en la decisión. No obstante, un marketing educativo sólido podría fortalecer la percepción de las universidades, como sugieren Chase et al. (2019). Esto es relevante en el contexto ecuatoriano, donde la alta deserción universitaria (Amaguaya, 2023) hace necesario no solo atraer estudiantes, sino también retenerlos mediante entornos social y emocionalmente enriquecedores.
Sin embargo, y por otra parte, la reducción de la asimetría de información en la elección universitaria es fundamental para evitar decisiones basadas en percepciones de reputación en lugar de calidad real. En este sentido, la creación de un observatorio laboral ecuatoriano permitiría alinear la oferta educativa con las demandas del mercado, brindando a los estudiantes información objetiva y accesible. Esto facilitaría decisiones más informadas, promovería políticas públicas estratégicas y contribuiría a reducir las brechas de desigualdad en el acceso a la educación superior.
5. Conclusiones
La elección universitaria en Ecuador está influenciada tanto por factores tradicionales como por elementos de la economía conductual. Aunque la oferta educativa y los factores económicos siguen siendo prioritarios, los resultados evidencian que la reputación institucional, los factores individuales y la vida social juegan un rol importante en la toma de decisiones. La reputación institucional no solo es un reflejo de la calidad percibida, sino que también responde a la necesidad de reconocimiento social y seguridad en la decisión, elementos centrales en un entorno competitivo y lleno de incertidumbre, como el mercado laboral de un país en vías de desarrollo, al cual los estudiantes deberán enfrentarse tras egresar de la universidad. Por otro lado, los factores individuales, como la facilidad de admisión y el ajuste con antecedentes académicos y expectativas, junto con la vida social, emergen como componentes relevantes, subrayando la importancia de un entorno educativo que fomente el crecimiento personal y con un enfoque centrado en el estudiante.
En Ecuador, la Ley de Educación Superior requiere una reforma que priorice la calidad educativa-científica, asegurando que las universidades cumplan su rol formativo más allá de la rentabilidad. Muchas instituciones privadas aún operan bajo un enfoque empresarial, dejando en segundo plano el bienestar estudiantil y la equidad educativa. Además, la falta de un sistema efectivo de apoyo social limita una adecuada formación superior de calidad, afectando no solo el desarrollo académico de los estudiantes, sino también el progreso económico del país.
Una de las principales limitaciones de este estudio radica en que no incluyó aspectos cualitativos que podrían haber complementado los hallazgos cuantitativos, ni evaluó cómo los factores varían en función de las áreas de estudio o las modalidades educativas. Futuras investigaciones podrían desarrollar estudios longitudinales con la finalidad de evaluar cómo estas percepciones de importancia evolucionan a lo largo del tiempo y su impacto en la retención universitaria. En un contexto más amplio, el análisis de cómo estos factores afectan a las tasas de empleabilidad y satisfacción profesional de los egresados podría aportar una visión más integral del sistema educativo ecuatoriano.
Referencias
Aguado-Franco, J. (2023). Aversión al riesgo, efecto certeza y estimación de probabilidades. Retos Revista de Ciencias de la Administración y Economía, 13(25), 49-60. https://doi.org/10.17163/ret.n25.2023.04
Alanazi, A. S., & Benlaria, H. (2023). Bridging Higher Education Outcomes and Labour Market Needs: A Study of Jouf University Graduates in the Context of Vision 2030. Social Sciences, 12(6), 360. https://doi.org/10.3390/socsci12060360
Allen, I. E., & Seaman, C. A. (2007). Likert Scales and Data Analyses. Quality Progress, 40, 64-65. https://www.proquest.com/magazines/likert-scales-data-analyses/docview/214764202/se-2
Amaguaya, K. (2023). Estudio Senescyt: Deserción universitaria en Ecuador llega al 20,46%. Teleamazonas. https://www.teleamazonas.com/estudio-senescyt-desercionuniversitaria-ecuador/
Avendaño-Rodríguez, K., y Magaña-Medina, D. (2018). Elección de carreras universitarias en áreas de ciencia, tecnología, ingeniería y matemáticas (STEM): revisión de la literatura. Revista interamericana de educación de adultos, 40(2), 155-173.
Aydin, O. (2015). University choice process: a literature review on models and factors affecting the process.Journal of Higher Education. Journal of Higher Education, 5(2),103-111. https://doi.org/10.2399/YOD.15.008
Bowman, N.A., & Bastedo, M.N. (2009). Getting on the Front Page: Organizational Reputation, Status Signals, and the Impact of U.S. News and World Report on Student Decisions. Research in Higher Education, 50, 415–436. https://doi.org/10.1007/s11162-009-9129-8
Briggs, S., & Wilson, A. (2007). Which university? A study of the influence of cost and information factors on Scottish undergraduate choice. Journal of Higher Education Policy and Management, 29(1), 57–72. https://doi.org/10.1080/13600800601175789
Chase, C., Geringer, S., & Stratemeyer, A. (2019). The Effect of University Marketing Efforts on Students’ Academic Decision-Making: An Empirical Study. Journal of Higher Education Theory and Practice, 19(6). https://doi.org/10.33423/jhetp.v19i6.2303
Comeig-Ramírez, I., Ramírez-López, F., y Portilla-Salas, F. (2023). Conducta gregaria irracional en crowdfunding de recompensa: experimento de campo. RETOS. Revista de Ciencias de la Administración y Economía, 13(25), 9-19. DOI: https://doi.org/10.17163/ret.n25.2023.01
Davies, M. & Cook, A. (2009). Quality Information Available to Students Prior to Entry. Routledge
Denzler, S., & Wolter, S. (2010). Der Einfluss des lokalen Hochschulangebots auf die Studienwahl. Z Erziehungswiss, 13, 683–706. https://doi.org/10.1007/s11618-010-0143-6
Eldegwy, A., Elsharnouby, T. H., & Kortam, W. (2022). Like father like son: the role of similar-education parents in their children’s university choice. Journal of Marketing for Higher Education, 34(2), 458–477. https://doi.org/10.1080/08841241.2021.2018087
Frías-Navarro, D. (2022). Apuntes de estimación de la fiabilidad de consistencia interna de los ítems de un instrumento de medida. Universidad de Valencia. España. Disponible en: https://www.uv.es/friasnav/AlfaCronbach.pdf
Ganga-Contreras, F., Sáez San Martín, W., Rodríguez-Ponce, E., Calderón, A., y Wandercil, M. (2018). Universidades Públicas de Chile y su Desempeño en los Rankings Académicos Nacionales. Fronteiras: Journal of Social, Technological and Environmental Science, 7(3), 316–341. https://doi.org/10.21664/2238-8869.2018v7i3.p316-341
Ganga-Contreras, F., Suárez-Amaya, W., Valderrama-Hidalgo, C., y Salazar-Botello, C. (2022). Rankings universitarios y su influencia en el desempeño: Comparando perspectivas expertas de Chile y Venezuela. Retos Revista de Ciencias de la Administración y Economía, 12(24), 200-210. https://doi.org/10.17163/ret.n24.2022.01
García Alcaraz, J. L., y Moreno Morales, C. S. (2012). Factores considerados al seleccionar una universidad. Caso Ciudad Juárez. Revista Mexicana de Investigación Educativa, 17(52), 287-305.
Gómez-Bayona, L., Ferre-Pavia, C. y Arrubla, J. P. (2020). Modelos de mercadeo relacional en educación: articulación con el docente universitario. Revista Venezolana de Gerencia, 24(2), 542-556. https://doi.org/10.37960/revista.v24i2.31509
Gómez, J. (2023). Factores que Influyen en la Elección de la Carrera Universitaria en Estudiantes de Educación Media Superior. Sapiencia Revista Científica Y Académica , 3(2), 161–181. https://doi.org/10.61598/s.r.c.a.v3i2.60
Goldschneider, B. (2024). Finding Home: Pre-College Socialization and Anticipatory Belonging on Campus (Fundamental). Paper presented at 2024 ASEE Annual Conference & Exposition. Doi: 10.18260/1-2--47466
Kim, J. K., & Gasman, M. (2011). In search of a “good college”: Decisions and determinations behind Asian American students’ college choice. Journal of College Student Development, 52(6), 706–728. https://doi.org/10.1353/csd.2011.0073
Kusumawati, A., Perera, N. & Yanamandram, V. (2019). Modelling trade-offs in students’ choice set when determining universities. International Journal of Educational Management, 33(5), 979-989. https://doi.org/10.1108/IJEM-01-2018-0007
Maniu, A., & Maniu, A. (2014). Factors Influencing University Choice: A Literature Review. Educational Research Journal, 8(3), 45-56. https://doi.org/10.1007/s10734-014-9784-3
Nacipucha, N. S., y Sánchez-Bayón, A. (2024). Economía Conductual en la Elección Universitaria: Giro Hermenéutico. Fronteiras: Journal of Social, Technological and Environmental Science, 13(3), 237–255. https://doi.org/10.21664/2238-8869.2024v13i3.p237-255
Owie, I. (2003). Teaching, apriori or aposteriori decision: A preliminary analysis of effective impact. African Journal of Studies in Education, 1(1), 21-29.
Pérez, A., y Rodríguez, A. (2022). Economía conductual: un análisis desde la interdisciplinariedad y la complejidad. Apuntes del Cenes, 41(74), 17-40. https://doi.org/10.19053/01203053.v41.n74.2022.13983
Pigini, C., & Staffolani, S. (2016). Beyond participation: do the cost and quality of higher education shape the enrollment composition? The case of Italy. Higher Education, 71, 119–142. https://doi.org/10.1007/s10734-015-9892-8
Price, I., Matzdorf, F., Smith, L. & Agahi, H. (2003). The impact of facilities on student choise of university. Facilites, 21 (10), 212-222. https://doi.org/10.1108/02632770310493580
Pampaloni, A. M. (2010). The influence of organizational image on college selection: what students seek in institutions of higher education. Journal of Marketing for Higher Education, 20(1), 19–48. https://doi.org/10.1080/08841241003788037
Patel, R., & Patel, M. (2012). A study on perception and attitude of students regarding factors which they consider while making selection of institute in MBA programme in Gujarat state. Journal of Arts, Science & Commerce, III (1), 115-121.
Pitsakis, K., Souitaris, V., & Nicolaou, N. (2015). The peripheral halo effect: Do academic spinoffs influence universities’ research income? Journal of Management Studies, 52(3), 321–353. https://doi.org/10.1111/joms.12119
Raposo, M., & Alves, H. (2007). A model of university choice: an exploratory approach. Munich Personal RePEc Archive. Online at https://mpra.ub.uni-muenchen.de/5523/
Reynoso, D. W., y Arbaiza, L. (2023). Conductas elegidas o forzadas a elegir: normas y valores asumidos por los ejecutivos. RETOS. Revista de Ciencias de la Administración y Economía, 13(25), 23-35. DOI: https://doi.org/10.17163/ret.n25.2023.02
Sánchez-Bayón, A. & Trincado Aznar, E. (2021). Spanish Business Schools paradox and the accreditation system expiry: when the success becomes a risk. Revista Galega De Economía, 30(2), 1-18. https://doi.org/10.15304/rge.30.2.6926
Siddik, M. A., Rahman, M. A., & Islam, M. N. (2024). Students’ Perception on Campus Land Use: A Case Study on Patuakhali Science and Technology University. Fronteira: Journal of Social, Technological and Environmental Science, 13(4), 220–234. https://doi.org/10.21664/2238-8869.2024v13i4.p220-234
Sumba, N. y Sánchez-Bayón, A. (2024). Avances en la economía conductual: Cambio paradigmático hacia una economía humanista. Telos Rev. Estud. Interdiscip. Cienc. Soc., 26, 615–632. https://doi.org/10.36390/telos262.02
Tversky, A., & Kahneman, D. (1973). Availability: A heuristic for judging frequency and probability. Cognitive Psychology, 5(2), 207-232. https://doi.org/10.1016/0010-0285(73)90033-9
Wiese, M., Van Heerden, C. H., & Jordaan, Y. (2010). The role of demographics in students’ selection of higher education institutions. Acta Commercii, 10(1), 150-163.
Zulkifli, Z. A., Mokhtar, M., & Mohd Zain, Z. (2023). Building A Framework for Election Education Among University Students. Journal of Governance and Development (JGD), 19(2), 173–188. https://doi.org/10.32890/jgd2023.19.2.3
Zuniga-Jara, S., Soria-Barreto, K., y Araya-Pizarro, S. C. (2019). Factores Determinantes en la Elección de una Universidad por Estudiantes de Ingeniería Comercial en la Región de Coquimbo, Chile. Formación universitaria, 12(5), 61-68. https://dx.doi.org/10.4067/S0718-50062019000500061